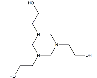
- Name: Hexahydro-1,3,5-tris(hydroxyethyl)-s-triazine
- CAS No.: 4719-04-4
- Appearance: Light yellow liquid
- Purity/Assay: 79.00%
- Package: 200kg/drum
- Capacity: 12000MT/year
Hexahydro-1,3,5-tris(hydroxyethyl)-s-triazine CAS 4719-04-4
Description
S-Triazine-1 3 5-triethanol Quick Details
Chemical Name: S-Triazine-1 3 5-triethanol
Other Name: Hexahydro-1,3,5-tris(hydroxyethyl)-s-triazine; 1,3,5-Tris(2-hydroxyethyl)hexahydro-1,3,5-triazine; 1,3,5-Triazine-1,3,5(2H,4H,6H)-triethanol; Actane; 2,2′,2”-(1,3,5-triazinane-1,3,5-triyl)triethanol
CAS No.: 4719-04-4
Molecular Fomula: C9H21N3O3
Molecular weight: 219.28
Appearance: Light yellow liquid
S-Triazine-1 3 5-triethanol Typical Properties
| Item | Standard |
| Appearance | Light yellow liquid |
| Color | Light yellow |
| Assay | 79.00% |
| PH | 9.6 |
S-Triazine-1 3 5-triethanol Usage
Used for oil field desulfurization
S-Triazine-1 3 5-triethanol Packaging
200kg/drum
S-Triazine-1 3 5-triethanol Storage
Keep in a well-closed, avoid light, dry and cool place.The shelf life of S-Triazine-1 3 5-triethanol is two years in original, unopened containers.





